RATE( ) 関数
期間ごとの利率を返します。
構文
RATE(期間, 支払金額, 金額)
パラメーター
| 名前 | 型 | 説明 |
|---|---|---|
| 期間 | 数値 |
支払期間の総数。 |
| 支払金額 | 数値 |
1 期間あたりの支払金額。 |
| 金額 | 数値 |
貸付金の元金。 |
メモ
RATE( ) 関数では支払は期末に行われることが前提となっています。
出力
数値。利率は小数点以下 8 桁で計算されます。
例
基本的な例
$275,000 の 25 年ローンに対して毎月 $1856.82 を支払う場合の月利率として、0.00541667(0.54%)が返されます。
RATE(12*25, 1856.82, 275000)
同じローンの年利率として 0.06500004(6.5%)が返されます。
RATE(12*25, 1856.82, 275000)*12
高度な例
名目利率から実効利率を求める
RATE( ) 関数では名目利率が計算されます。RATE( ) の結果から実効利率を求めるには、EFFECTIVE( ) 関数を使用します。
前記例のローンの実効利率として 0.06715155(6.7%)が返されます。
EFFECTIVE((RATE(12*25, 1856.82, 275000)*12), 12*25)
年金の計算
年金の計算では、次の 4 つの変数が使用されます。
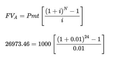
- 現在価値または将来価値 下の例では $21,243.39 と $ 26,973.46
- 1 期間あたりの支払金額 下の例では $1,000.00
- 1 期間あたりの利率 下の例では月あたり 1%
- 期間の数 下の例では 24 か月
これらの変数のうち 3 つの値がわかっている場合は、Analytics 関数を使って残りの変数の値を計算できます。
| 求めたい値: | 使用する Analytics 関数 |
|---|---|
| 現在価値 |
PVANNUITY( ) 21243.39 を返す: FVANNUITY(0.01, 12, 1000) |
| 将来価値 |
FVANNUITY( ) 26973.46 を返す: FVANNUITY(0.01, 24, 1000) |
| 1 期間あたりの支払金額 |
PMT( ) 1000 を返す: PMT(0.01, 24, 21243.39) |
| 1 期間あたりの利率 |
RATE( ) 0.00999999(1%)を返す: RATE(24, 1000, 21243.39) |
| 期間の数 |
NPER( ) 24.00 を返す: NPER(0.01, 1000, 21243.39) |
年金の式
期末年金(期末払い)の現在価値を計算する式:
期末年金(期末払い)の将来価値を計算する式: